About Me

Education: I grew up in a small town in Karnataka, India. I went to high school in Raichur, and then moved to Bengaluru for my undergrad in Electronics & Comminication Enginnering at RV College of Engineering. I graduated in 2020 ranking 3rd in the University, with my thesis on 'Search for Galactic and high redshift absorption lines with LOFAR'. I then moved to Tempe Arizona, where I got a Ph.D. in Astrophysics from the School of Earth and Space Exploration, Arizona State University. I am currently a Postdoctoral Researcher aat University of Richmond.

Research Interests: I am a Radio Astronomer and Experimental Cosmologist studying the behavior of the first stars and galaxies during the Epoch of Reionization and Cosmic Dawn. My work involves developing precise models and statistical techniques to extract extremely faint signals from noisy data.

Outside Work: I love the outdoors! When I’m not analyzing radio astronomical data, you’ll likely find me hiking, backpacking, or doing something adventurous -like skydiving. Through my husband, I’ve also developed an interest in cars and racing (see 86Challenge and 404:Brakes Not Found). I’m passionate about espresso and enjoy getting technical about it. My ideal shot comes from a freshly medium-roasted coffee (preferably from a local roastery), extracted at a 2.25 ratio in about 26–32 seconds. I have a soft spot for ’60s music and rarely miss my daily NPR Up First. I also enjoy Carnatic fusion and am currently training in Hindustani semi-classical vocals.

Research

Cosmic Dawn and Epoch of Reionization
One of my primary research interests is the phase of the Universe when the first stars and galaxies formed, roughly 300 million years after the Big Bang.

The hydrogen spin–flip transition, which emits radiation at a rest wavelength of 21 cm (rest frequency 1420 MHz), is a powerful probe of these early epochs. Redshifted into the radio band (approximately z ≈ 6–30, or 50–200 MHz), this signal encodes information about the thermal and ionization history of the intergalactic medium.

In practice, detecting this cosmological signature is extremely challenging. Terrestrial radio-frequency interference, bright astrophysical foregrounds, ionospheric distortions, and instrumental systematics all complicate the measurement. The target signal is roughly 6–8 orders of magnitude fainter than the foregrounds—aptly described as “trying to hear a hummingbird in the middle of a hurricane.”

Towards this scientific endeavor, I am a member of the EDGES Collaboration. The Experiment to Detect the Global Epoch of Reionization Signature (EDGES) is a single-antenna, low-frequency radio experiment designed to study Cosmic Dawn and the Epoch of Reionization. EDGES is deployed at Inyarrimanha Ilgari Bundara, the CSIRO Murchison Radio-astronomy Observatory. I primarily work with EDGES-3, which began operating in November 2022 following substantial hardware and software upgrades.

Absolutely Calibrated Sky Map at 310 MHz

Sky maps are among the most fundamental datasets for understanding the night sky. In radio astronomy, such maps are essential for virtually all scientific studies. However, at very low radio frequencies (around meter wavelengths), we currently lack an absolutely calibrated map with a well-defined zero level.

I collaborate with researchers at the University of Richmond and the National Radio Astronomy Observatory in Northern Virginia to address this gap. Using the Green Bank Telescope—the world’s largest fully steerable radio telescope—located in Green Bank, West Virginia, we are developing a new sky map at 310 MHz with a custom-designed feed and receiver system.

Low Frequency Radio Recombination Lines
Radio Recombination lines are the type of spectral features due to electron transitions in a Rydberg atom (excited atom with atleast one electron in a high principal quantum number). These lines help understand the star formation and measurement of density and temperature of the surrounding gas. Low frequency radio recombination lines (<150 MHz) in Carbon and Hydrogen are of particular interest, as they have been considered a possible foregrounds in the redshifted 21cm measurements from Cosmic Dawn and Epoch of Reionization. I use data from EDGES to detect these unique spectral signatures and study their effects on both global and power spectrum measurements of the redshifted 21cm signal.

Beam Calibration of LWA using Pulsar Gating

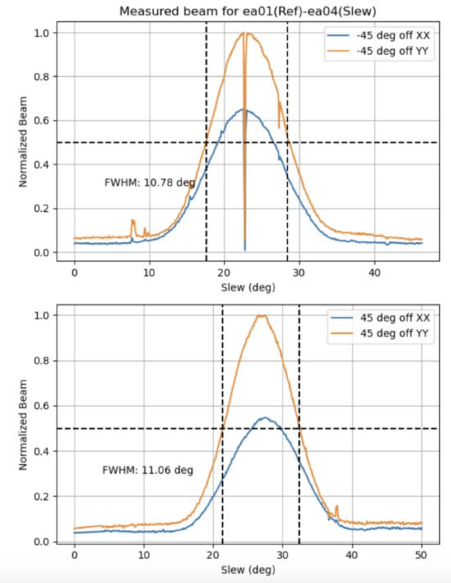
For current generation ground-based radio interferometers aiming precision measurements, one of biggest shortcomings is understanding the instrumental systematics. In particular, a precise understanding of the antenna beam is demanded. I work with Very Large Array (VLA), Long Wavelength Array (LWA) in New Mexico and LWA in Owen's Valley Radio Observatory (OVRO-LWA) for making beam mapping measurements that will help improve our understanding of the instrument and find spectral features that affect EoR and Cosmic Dawn experiments. To do this, I have done some preliminary study of a novel Pulsar Gating method of beam calibration, that helps map the average antenna beam of an interferometer in spatial and spectral axes.

Measurement of Neutron lifetime using Space based Neutron Spectrometer
Neutron, although being one of the fundamental particles that make up the matter, is still not very well understood. Experimental particle physicists have been trying to measure the lifetime of a free neutron particle for decades now, using two independent methods (counting the number of neutrons or counting the number of beta-decay products, as a function of time), that produce two different results which are over 5-standard deviations apart. This discrepancy is not explained by systematic or statistical errors. More importantly, the mere 9-sec difference in these two measurements has significant impact in our understanding of Big Bang Nucleosynthesis and primordial He abundance. A precise measurement will not only help place limits on physics beyond the standard model but also finally settle the long standing debate!
As a Graduate Research Associate at Los Alamos National Lab, I have made a space-based measurement using data from the Lunar Prospector (LP) mission. The LP was in orbit around moon between Jan 1998 to July 1999, and provides the Moon as a unique test bed for this measurement with its two neutron spectrometers on-board. This technique makes use of interactions between Cosmic rays and the lunar sub-surface that emit gravitationally bound neutrons. I am using a monte-carlo based particle simulation code to model the neutron emission from the lunar surface. This combined with the orbital information of the spacecraft can be used to deduce the neutron lifetime. The study on effects of lunar surface compositions and temperatures on the measurement of neutron lifetime is the most detailed study of such systematic uncertainties to date.

Publications and Writing Samples:

Click here for the full publication list.

Some examples:
5. VLA 4-band beam width measurement using the holography observing mode ( LoCo Memo #52, EVLA Memo #228)
4. Observing Campaign for LWA Beam measurements (LoCO Memo #51)
3. Sensitivity analysis of pulsar beam mapping with the LWA and VLA (LoCo Memo #50)
2. Beam Mapping of LWA using Pulsar Gating (LoCo Memo #49)
1. Low-Frequency Radio Recombination Lines Away From the Inner Galactic Plane (The Astronomical Journal)

Community

Teaching:
1. Summer Sundial-2021 and Summer Sundial 2023
I helped design and teach a 2-week Astrophysics bootcamp for freshmen undergrads majoring in Maths, Physics and Astrophysics. Here's a short video on it.
2. Astro-India Program
I work with three other Astrophysics grad students at SESE to design a 12 week Astrophysics curriculum for high-school students in India, who have little to no access to Astrophysics lessons or related career opportunitis.
3. Radio Astronomy Bootcamp
I helped design and teach a week long evening class introducing Radio Astronomy (python based data analysis techniques and Fourier transforms in particular) to undergraduate students.

Outreach:
1. Podcast on pivoting career from Engineering to Astrophysics: Engineer turned Astrophysicist
2. Interview on Understanding the Early Universe using 21cm signal Forest Voices of India
3. SESE Outreach: I help organize outreach activities for Low Frequency Cosmology lab at the SESE public engagement events. There are typically 2 events/semester.

Public Talks:
1. Studying Early Universe using Low Frequency Radio Telescopes at Grad-to-Grad Colloquiumb>, Dept. of Physics, ASU (Apr 29, 2022)
2. Studying Early Universe as an Engineer turned Radio Astronomer at the Cosmic Chronicles talk series, RV College of Engineering, India (Sep 6, 2022)
3. Space Archaeology: Using 21cm signal to study the early Universe at Annular Solar Eclipse 2023 county science outreach, Kanab Utah (Oct 14, 2023)
4. Studying Cosmic Dawn using remote Radio telescopes at Gulbarga Science Center, India (Oct 8, 2024)
5. A Day in a life of a Radio Astronomer at RV College of Engineering (Oct 15, 2024)
6. Space Archaeology : Studying early Universe using remote radio telescopes at San Jose Astronomy Association (Oct 19, 2024)
7. Radio Astronomy techniques to measure the Global 21cm signal from the early Universe Karnataka Physics Teachers Association (Nov 24, 2024)

Grad School Resources
1. Megasheet for shortlisting and applying for schools to pursue graduate studies (sample only)

Meetings

This page is a log of meetings/workshops/conferences/site visits I have participated in.
32. LuSEE-Night Collaboration Meeting, Space Science Laboratory, Berkeley CA - Mar 26-27, 2026
31. Experimental Frontiers in Low-Frequency Radio Cosmology, Vassar College, Poughkeepsie NY - Feb 27, 2026
30. The Invisible Universe , Richmond Astronomy Club - Feb 10, 2026
29. MARLAM2025, George Washington University, Washington DC - Jan 28, 2026
28. First On-sky measurements of 310MHz receiver, Green Bank Observatory, WV - Jan 12-16, 2026
27. 247th AAS meeting, Phoenix AZ - Jan 4-8, 2026
26. RFI testing for 310MHz receiver, Green Bank Observatory, WV - Oct 28, 2025
25. University of Richmond Department of Physics Colloquium - Oct 22, 2025
24. 8th Global 21cm Workshop, Caltech, Pasadena - Sep 22-25, 2025
23. New Avenues in Particle Cosmology, Winchester UK (May 20, 2025) 22. 2025 National Radio Science Meeting, Boulder, CO - Jan 7-10, 2025 21. Radio Astronomy techniques to measure the Global 21cm signal from the early Universe Karnataka Physics Teachers Association (Nov 24, 2024)
20. San Jose Astronomy Association (SJAA) Oct 19, 2024
19. A Day in a life of a Radio Astronomer at RV College of Engineering (Oct 15, 2024)
18. Studying Cosmic Dawn using remote Radio telescopes at Gulbarga Science Center, India (Oct 8, 2024)
17. 7th Global 21cm Workshop, Raman Research Institute, Bengaluru - Sep 30-Oct 04, 2024 16. Caltech Lunch Seminar - July 9, 2024
15. Space Archaeology: Using 21cm signal to study the early Universe at Annular Solar Eclipse 2023 county science outreach, Kanab Utah (Oct 14, 2023)
14. 19th Synthesis Imaging Workshop - Jun 12-22, 2023 - NRAO Charlottesville, VA
13. LWA Users Meeting 2023 Jun 2-3, 2023 - University of New Mexico, Albuquerque NM
12. VLA 4-band beam measurement campaign (using holography) - May 29 -Jun 1, 2023 - NRAO Array Operations Center, Socorro NM
11. LWA single dipole beam measurement campaign with Drones (part of ECHO/External Calibrator for Hydrogen Observatories) - May 22-27, 2023 - Owens Valley Radio Observatory CA
10. 38th Annual New Mexico Symposium - Feb 17, 2023 - NRAO Array Operations Center, Socorro NM
9. Beam workshop for the Long Wavelength Array (part of Beam Dream Team series of meetings) - Jan 18-22, 2023 - Owens Valley Radio Observatory CA
8. 241st AAS Winter Meeting - Jan 8-12,2023 - Seattle WA
7. 5th Global 21cm Workshop - Oct 17-20 - UC Berkeley CA
6. Studying Early Universe as an Engineer turned Radio Astronomer at the Cosmic Chronicles talk series, RV College of Engineering, India (Sep 6, 2022)
5. Intelligent Space Research-1 (Space Science and Applications) Colloquium - Jul 19, 2022 - Los Alamos NM
4. Studying Early Universe using Low Frequency Radio Telescopes at Grad-to-Grad Colloquiumb>, Dept. of Physics, ASU (Apr 29, 2022)
3. Front-end electronics upgrades for LWA - Nov 2021 - Owens Valley Radio Observatory CA
2. SESE Annual Symposium - Aug 18, 2021, SESE ASU - Tempe, AZ
1. Los Alamos National Lab Summer Symposium - Aug 3-4, 2021, Los Alamos, NM